搜索
网站首页
教师招聘>单招选调
教师招聘>面试公告
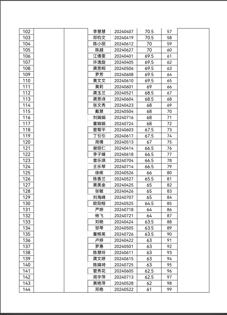
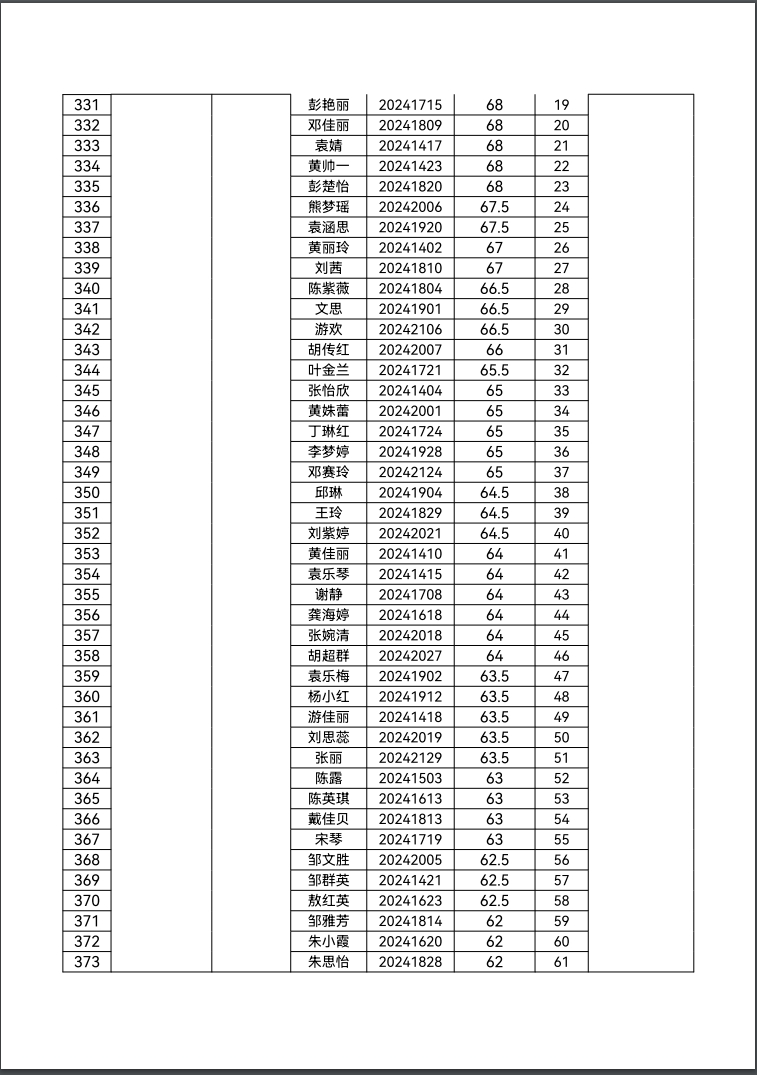
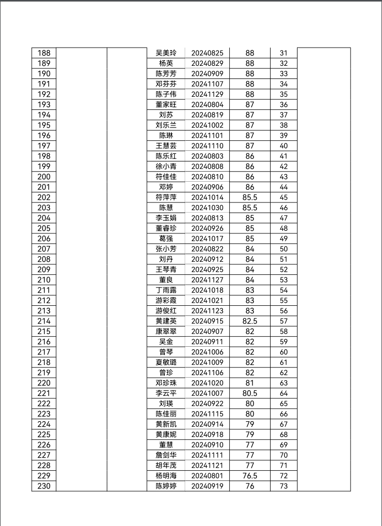
2024年乐安县公开选调城区中小学、幼儿园教师和公开招聘幼儿园编外合同制教师面试公告
2024-07-22 14:44:13
相关附件:
2024年乐安县公开选调城区中小学、幼儿园教师和公开招聘幼儿园编外合同制教师面试公告.pdf
设为首页
加入收藏
关于我们
支付方式
易公教育
易公教育
客服热线:400-8585-820
版权所有:江西易公教育咨询有限公司
|
总校地址:江西省南昌市南昌县八月湖街道芳草路易公教育(象湖南区教学点)
|
技术支持:网络部
ICP备案号: 赣ICP备2021011319号
微信公众号
在线咨询
联系电话
返回顶端